QQ登录

只需一步,快速开始

登录 | 注册 | 找回密码

三维网

 找回密码
 注册

QQ登录

只需一步,快速开始

展开

通知     

查看: 1875|回复: 15
收起左侧

[分享] 绿色版椭圆周长计算器(精确度千亿分之一)

[复制链接]
发表于 2016-1-30 21:35:25 | 显示全部楼层 |阅读模式 来自: 中国广东肇庆

马上注册,结识高手,享用更多资源,轻松玩转三维网社区。

您需要 登录 才可以下载或查看,没有帐号?注册

x
由于椭圆积分非初等函数,所以此计算器专门计算椭圆周长,精确度千亿分之一。+ M/ j- T7 K- e& C6 E& U2 V! K0 P
与大家分享,只是不知道这个千亿分之一的精确度是怎样比较出来的。9 ^# @5 [& E* k( v% Z
& [$ u9 z; Z" ?
椭圆周长计算器.rar (4.09 KB, 下载次数: 65)

评分

参与人数 1三维币 +3 收起 理由
阿帕奇 + 3

查看全部评分

发表于 2016-1-30 22:05:45 | 显示全部楼层 来自: 中国北京
好用。谢谢分享。
发表于 2016-1-30 22:19:47 | 显示全部楼层 来自: 中国浙江嘉兴
有個近似公式,就不知精度如何!6 \3 Y+ k1 ^* T9 A
L:周長  ,  a:半長軸  ,  b:半短軸+ _$ B8 C) U. m! B( A% \

' J% A# Z5 r$ m- S. L t-1.png 6 ^) w& a! O. Y+ v1 J! F7 d
3 D" H$ C& `6 `+ Z
 楼主| 发表于 2016-1-30 22:24:55 | 显示全部楼层 来自: 中国广东肇庆
还可以计算圆的周长! z% L& N4 H+ ~; E+ }+ @7 Q3 H
比如直径100的圆周长为314.1592653589793238462643383279……
: Y- {- b- q" d4 M; F5 U
) g  {7 X0 h4 ]$ M7 |5 L软件的计算结果
, c# d- j5 j, \0 u+ s4 Y- y
. `, p8 [6 K) o Snap6.jpg
 楼主| 发表于 2016-1-31 01:32:37 | 显示全部楼层 来自: 中国广东肇庆
ryouss 发表于 2016-1-30 22:19
1 r9 [* P( S; B" Z  h/ @8 Q. W1 r有個近似公式,就不知精度如何!
8 R( Q% F' u; ?' xL:周長  ,  a:半長軸  ,  b:半短軸
7 |! X) t8 H$ ^1 C4 q- u4 m& U
梁大的公式用来计算长短半轴相等的椭圆圆相当精确。
3 o  R0 k! k' {- \, K- P) V对以下图形,软件自带的测量、公式和计算器的结果都不一样。) B" M  a% z0 G! b
- U% d: \6 e/ R( G( S
Snap2.jpg 8 h$ [7 h: y9 }- l% @+ ]
发表于 2016-1-31 08:01:41 | 显示全部楼层 来自: 中国浙江宁波
谢谢梁大分享快乐~~~
发表于 2016-1-31 15:15:45 | 显示全部楼层 来自: 中国广东中山
可以输入负值的程序不完美,我就喜欢钻牛角
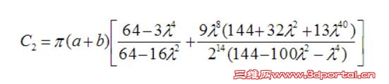
发表于 2016-1-31 19:09:55 | 显示全部楼层 来自: 中国江苏南京
试试这个公式,据说很精确
  |  {8 V- F1 q+ S5 h1 q
) I* k( \  }5 [; g( _ QQ截图20160131190649.jpg QQ截图20160131190856.jpg - ^: j) R/ J, m! I

2 q( o1 J7 N  ^1 c" @# I& W; _
发表于 2016-2-1 08:21:31 | 显示全部楼层 来自: 中国浙江湖州
这是SW路径长度功能计算的椭圆周长,咋相差这么多?

SW路径长度功能计算的椭圆周长

SW路径长度功能计算的椭圆周长
9 ^' K: u8 C2 ^3 M; Q1 c8 d! _

; u* y6 a/ |  L9 g; J
发表于 2016-2-1 12:11:11 | 显示全部楼层 来自: 中国浙江湖州
不好意思看错了,SW路径长度功能与椭圆周长计算器计算的结果是一样的!
发表于 2016-2-1 12:57:10 | 显示全部楼层 来自: 中国天津
画出椭圆直接测量是否更方便?
 楼主| 发表于 2016-2-2 09:11:36 | 显示全部楼层 来自: 中国广东肇庆
zhaogh66 发表于 2016-2-1 12:57
* D, ^) |: M8 e0 d! D画出椭圆直接测量是否更方便?

% Z9 N1 Z! F5 N: ?% W讨论的是SW中那个测量工具测的结果不准确啊。
 楼主| 发表于 2016-2-2 09:13:05 | 显示全部楼层 来自: 中国广东肇庆
ajyflxp 发表于 2016-2-1 12:112 k" @3 s# W/ x/ I4 O( ^. b
不好意思看错了,SW路径长度功能与椭圆周长计算器计算的结果是一样的!

1 B, j* v  Q- k: X- \说明SW中测量工具和路径长度测量的计算方法是不一样的,路径的才是准确的。
发表于 2016-2-2 10:24:33 | 显示全部楼层 来自: 中国山东威海
学习了~~~~原来椭圆路径这么难算
发表于 2016-2-2 15:52:43 | 显示全部楼层 来自: 中国台湾
用9樓公式編一個 002.gif ! S) s* X1 d- b) J. T
1 K0 |) G4 ^$ r* G; m
% q  ]8 n$ X6 N" Q7 p+ X
橢圓週長計算.zip (3.48 KB, 下载次数: 6)
 楼主| 发表于 2016-2-2 20:29:34 | 显示全部楼层 来自: 中国广东肇庆
hero522 发表于 2016-2-2 15:52
: k+ M% O: i/ l% H7 R2 s. N用9樓公式編一個

) P3 N* J0 |$ Z2 b英雄大真是奇才。
发表回复
您需要登录后才可以回帖 登录 | 注册

本版积分规则


Licensed Copyright © 2016-2020 http://www.3dportal.cn/ All Rights Reserved 京 ICP备13008828号

小黑屋|手机版|Archiver|三维网 ( 京ICP备2023026364号-1 )

快速回复 返回顶部 返回列表