QQ登录

只需一步,快速开始

登录 | 注册 | 找回密码

三维网

 找回密码
 注册

QQ登录

只需一步,快速开始

展开

通知     

查看: 1675|回复: 7
收起左侧

[已解决] 有没有手工工具方面的资料

[复制链接]
头像被屏蔽
发表于 2009-1-3 22:31:35 | 显示全部楼层 |阅读模式 来自: 中国江苏苏州
提示: 作者被禁止或删除 内容自动屏蔽
发表于 2009-1-4 10:13:10 | 显示全部楼层 来自: 中国黑龙江佳木斯
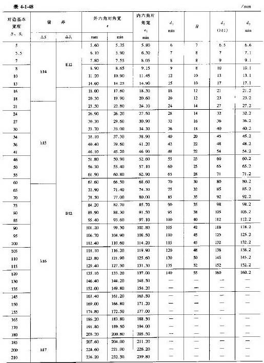
不知道你要资料的深度。一般套筒这边使用手册上的就可以了,气动一边按气动头设计即可。贴个表格给你参考。
1.jpg
2.jpg
3.jpg
4.jpg

评分

参与人数 1三维币 +2 收起 理由
userkypdy + 2 积极交流

查看全部评分

发表于 2009-1-4 11:25:49 | 显示全部楼层 来自: 中国山东聊城
刚发现有朋友发类似的图纸,http://www.3dportal.cn/discuz/vi ... ghlight=&page=1
& f5 h/ C8 G! g: W+ l" S看有需要吗。

评分

参与人数 1三维币 +2 收起 理由
userkypdy + 2 积极交流

查看全部评分

头像被屏蔽
 楼主| 发表于 2009-1-4 21:51:27 | 显示全部楼层 来自: 中国江苏苏州
提示: 作者被禁止或删除 内容自动屏蔽
发表于 2009-1-5 08:21:14 | 显示全部楼层 来自: 中国黑龙江佳木斯
你需要的尺寸没有标准,是个个生产商自行确定的尺寸。

评分

参与人数 1三维币 +2 收起 理由
userkypdy + 2 积极交流

查看全部评分

发表于 2009-1-7 13:15:19 | 显示全部楼层 来自: 中国河北石家庄
原帖由 yacht00001 于 2009-1-4 21:51 发表 http://www.3dportal.cn/discuz/images/common/back.gif
. Y+ _7 ~, A! Z, a/ o二楼的大哥,我想知道的是扳手的总体尺寸,长宽高。比如有些螺栓螺母在角落里,虽然能满足扳手头部尺寸要求,但是如果空间太小,扳手伸不进去。

0 M) j; D; R9 z- M$ j) i" _, e风动扳手头应该是一个行业标准配件,个人印象各厂家的外形尺寸区别不大,重型机械行业偏大一些,但是与风动工具连接的方孔尺寸可不一定,有的能通用有的可不好说。在风动工具的选择时,更应当关注的是风动工具自身尺寸,同样扭矩的风扳手,长度上的差异很大,风动扳手头可放在螺帽上而风动工具放不上去,这种事情太多了。
* t% z- P% _. p* _
5 F1 n% j* u! |; s! [$ y: W9 W[ 本帖最后由 wakang 于 2009-1-7 13:23 编辑 ]

评分

参与人数 1三维币 +3 收起 理由
userkypdy + 3 积极交流

查看全部评分

头像被屏蔽
 楼主| 发表于 2009-1-10 22:38:29 | 显示全部楼层 来自: 中国江苏苏州
提示: 作者被禁止或删除 内容自动屏蔽
发表于 2009-1-10 23:06:54 | 显示全部楼层 来自: 中国浙江杭州
二楼的朋友,好详细的资料,受教了,怎么不贴个标准出来啊
发表回复
您需要登录后才可以回帖 登录 | 注册

本版积分规则


Licensed Copyright © 2016-2020 http://www.3dportal.cn/ All Rights Reserved 京 ICP备13008828号

小黑屋|手机版|Archiver|三维网 ( 京ICP备2023026364号-1 )

快速回复 返回顶部 返回列表