QQ登录

只需一步,快速开始

登录 | 注册 | 找回密码

三维网

 找回密码
 注册

QQ登录

只需一步,快速开始

展开

通知     

全站
9天前
查看: 1729|回复: 4
收起左侧

[已解决] 变位齿轮的公法线?

[复制链接]
发表于 2008-10-31 19:27:45 | 显示全部楼层 |阅读模式 来自: 中国天津

马上注册,结识高手,享用更多资源,轻松玩转三维网社区。

您需要 登录 才可以下载或查看,没有帐号?注册

x
请问变位齿轮的公法线是否变化,如果有变化公式是什么?
发表于 2008-10-31 19:36:01 | 显示全部楼层 来自: 中国浙江绍兴
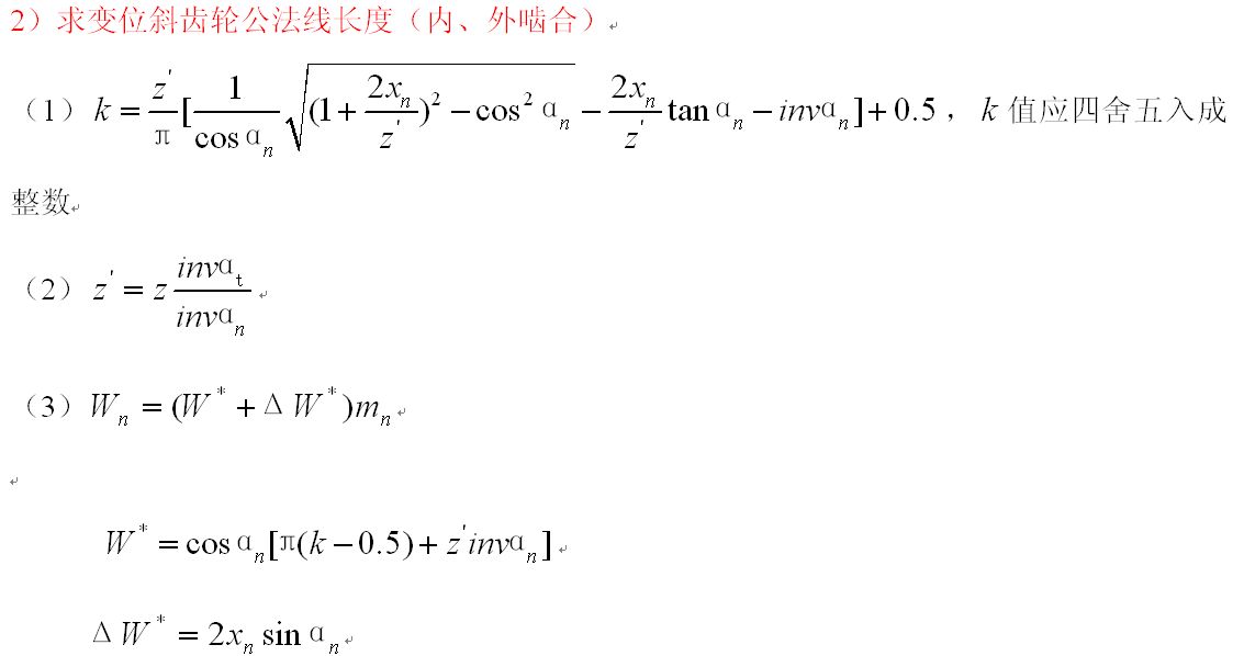
有变化的,可以查看齿轮手册等书籍,一般书上都有
1.jpg

评分

参与人数 1三维币 +4 收起 理由
hero2006 + 4 应助

查看全部评分

发表于 2008-10-31 20:29:32 | 显示全部楼层 来自: 中国浙江绍兴
再给你一个程序吧,别人编的
, H, D9 E0 B* A7 k' N! e4 y# B2 O  d9 A
公差是按旧标准计算的,供参考,公法线长度名义值是对的+ [7 M' L1 A$ E4 P* Z
, L, h2 x0 x, i' m9 X( c. ]
[ 本帖最后由 msm2002 于 2008-10-31 20:31 编辑 ]
2.jpg

公法线、量棒距及上下偏差.rar

21.81 KB, 下载次数: 16

 楼主| 发表于 2008-10-31 21:43:40 | 显示全部楼层 来自: 中国天津

回复 3# msm2002 的帖子

谢谢指点
发表于 2009-3-5 22:31:11 | 显示全部楼层 来自: 中国广西南宁
最近一直在找变位齿轮的资料
发表回复
您需要登录后才可以回帖 登录 | 注册

本版积分规则


Licensed Copyright © 2016-2020 http://www.3dportal.cn/ All Rights Reserved 京 ICP备13008828号

小黑屋|手机版|Archiver|三维网 ( 京ICP备2023026364号-1 )

快速回复 返回顶部 返回列表