QQ登录

只需一步,快速开始

登录 | 注册 | 找回密码

三维网

 找回密码
 注册

QQ登录

只需一步,快速开始

展开

通知     

全站
9天前
查看: 2290|回复: 9
收起左侧

[已解决] 请教行家:关于多级行星箱传动比

[复制链接]
发表于 2008-8-13 10:21:43 | 显示全部楼层 |阅读模式 来自: 中国上海

马上注册,结识高手,享用更多资源,轻松玩转三维网社区。

您需要 登录 才可以下载或查看,没有帐号?注册

x
请教行家:关于多级行星箱传动比:
, Q. V/ I  e' B/ X1 T4 _
% q  i( ^5 N* X第一和第二级为差速传动,第三级为准行星传动,三级的内齿圈为一体,传动简图见附件.4 n; w) X9 ^" z* q3 v! V4 p1 [7 B

$ ?$ N! N9 c" \. P  @/ q" O  B希望行家出手帮忙算一下,如给出计算方法那是最好的了.
) T+ K: l+ s+ s# X2 }- c5 i" t5 {9 s2 t/ o
谢谢!
( y- {( A+ y: B& I* N* R+ g8 ]1 L  y
[ 本帖最后由 ly8888 于 2008-8-15 09:22 编辑 ]
行星箱减速比.JPG

行星箱减速比.rar

3.7 KB, 下载次数: 11

发表于 2008-8-13 22:40:14 | 显示全部楼层 来自: 中国江苏苏州
楼主的文件是个BMP文件,以后可用画图软件另存成JPG格式就可以直接看到/ u( n" _/ E: m0 K# ^
未命名.JPG
发表于 2008-8-13 23:39:24 | 显示全部楼层 来自: 中国上海
应用在何种场合?
$ D) q3 Z- j5 p( l8 k. N0 ~# n空间布局是否有所要求?
 楼主| 发表于 2008-8-15 09:25:39 | 显示全部楼层 来自: 中国上海
有没有行家给看一看啊!
) f% a) v# J1 ~1 Z兄弟我比较急啊!
 楼主| 发表于 2008-8-15 16:22:05 | 显示全部楼层 来自: 中国上海
看样子本论坛关于行星齿轮方面的行家都深藏不露.不过还是想请潜水的行家出手解答一下.谢谢!
 楼主| 发表于 2008-8-22 10:56:14 | 显示全部楼层 来自: 中国上海
以上速比计算已解决,大家不用费心了.
发表于 2008-11-25 21:40:08 | 显示全部楼层 来自: 中国北京
原来你曾为此专门开了一帖求解,没有看到。
$ p  u4 M4 H! ?5 T) Q/ |将你的简图重新标注了一下,便于书写
. }' a3 J$ m5 P7 o6 x; U( w3 t 11.JPG / E. s. X. J  Z, j$ c9 i" g( F
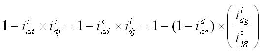
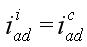
首先, 1.jpg ,其次,从传动简图来看,cfi连为一体,所以其他零件对c的传动比也就是对fi的传动比。同理对fi的传动比一样等于对c的传动比。5 V$ i3 J: _4 F0 l  K
/ }6 h1 a* ?5 e9 s' Z% D  q5 j
: q+ ~+ a, Y. ^, _- g$ Z$ o
2.jpg 9 g( ~9 s8 D! W7 U4 B8 A6 ]$ [

# \. J8 x* X4 d" _
因为 3.jpg ,同时将g代入分母/ _% W! D+ }: ~9 m

8 f1 {$ m; O. l3 [, t( X0 H! O
4.jpg 3 Z3 P/ m7 L/ S. H' z
5.jpg
6 Y" E1 z& c, q, P7 x% v2 C0 N$ M 6.jpg " Y0 h: p- F% A8 S
8 B. x1 E# @/ C8 R6 R
1 N* K9 i8 o& I% N3 t' K
0 G8 H- |1 |6 U/ |, \$ p2 m: ]  e
[ 本帖最后由 糍粑 于 2008-11-25 21:41 编辑 ]

评分

参与人数 1三维币 +5 收起 理由
hero2006 + 5 应助

查看全部评分

 楼主| 发表于 2008-11-28 16:21:17 | 显示全部楼层 来自: 中国上海
原帖由 糍粑 于 2008-11-25 21:40 发表 http://www.3dportal.cn/discuz/images/common/back.gif
  p, r3 O1 m8 g$ D原来你曾为此专门开了一帖求解,没有看到。& }3 C, Z* `; c# M# ~
将你的简图重新标注了一下,便于书写
+ r5 a. ~9 K; z1 r9 c" o# O( a5 T1066626
/ \2 D2 \* x& i9 F" a首先,1066627,其次,从传动简图来看,c、f、i连为一体,所以其他零件对c的传动比也就是对f和i的传动比。同理对f、i的传动 ...

3 Q# i  q1 \$ z7 Z+ L' W! X& X; y" }  f" m. _' F
楼上的真是行家,给出了推导过程,非常好!谢谢!
发表于 2008-11-29 00:10:12 | 显示全部楼层 来自: 中国北京
计算传动比不是行家,学过机械原理的基本都知道,能想出好的行星机构才是行家。
发表于 2008-12-27 21:48:03 | 显示全部楼层 来自: 中国江苏苏州
1-(z3/z1+1)(z6/z4+1)(z9/7+1)
发表回复
您需要登录后才可以回帖 登录 | 注册

本版积分规则


Licensed Copyright © 2016-2020 http://www.3dportal.cn/ All Rights Reserved 京 ICP备13008828号

小黑屋|手机版|Archiver|三维网 ( 京ICP备2023026364号-1 )

快速回复 返回顶部 返回列表