QQ登录

只需一步,快速开始

登录 | 注册 | 找回密码

三维网

 找回密码
 注册

QQ登录

只需一步,快速开始

展开

通知     

查看: 5759|回复: 13
收起左侧

[已解决] 内螺纹的螺纹大径怎么算???

 关闭 [复制链接]
发表于 2008-7-15 14:58:31 | 显示全部楼层 |阅读模式 来自: 中国上海

马上注册,结识高手,享用更多资源,轻松玩转三维网社区。

您需要 登录 才可以下载或查看,没有帐号?注册

x
内螺纹的螺纹大径怎么算???
0 b$ y% x; W! F6 N7 ^$ l- |
0 X3 U; V$ t- a2 V* _+ l  H$ O[ 本帖最后由 fwg4002 于 2008-7-21 13:31 编辑 ]
发表于 2008-7-15 15:02:16 | 显示全部楼层 来自: 中国江苏南通
查表就可以得到
发表于 2008-7-15 15:19:30 | 显示全部楼层 来自: 中国山西太原
普通螺纹的内螺纹和外螺纹的大径不用计算,就等于螺纹的公称直径,中径和小径需要计算:下式中d为公称直径,p 为螺距。
& w% A" b# Q5 X  D螺纹中径d2:d2=d - 0.6495 p; J& C5 Z  l$ A
螺纹小径d1:d1=d - 1.0825 p

评分

参与人数 1三维币 +3 收起 理由
plc + 3 应助

查看全部评分

发表于 2008-7-15 15:23:19 | 显示全部楼层 来自: 中国天津
查螺纹标准或者螺纹手册《公制、 美制和英制螺纹标准手册3 k( ?7 Q9 f/ h8 G5 j
发表于 2008-7-15 15:49:44 | 显示全部楼层 来自: 中国黑龙江佳木斯
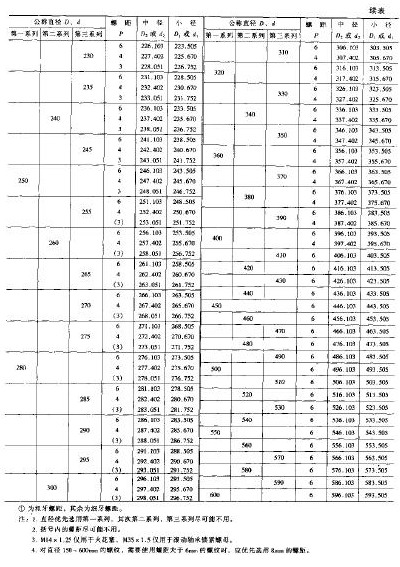
不用计算。见下表。
21.jpg
22.jpg
23.jpg
24.jpg
25.jpg

评分

参与人数 1三维币 +3 收起 理由
plc + 3 应助

查看全部评分

发表于 2008-7-15 16:49:10 | 显示全部楼层 来自: 中国浙江温州
和外径计算方法应该是一样的。看用在什么场合下,再确定公差
发表于 2008-7-15 17:12:01 | 显示全部楼层 来自: 中国浙江宁波
内螺纹大径只有最小尺寸要求,就等于公称直径。
发表于 2008-7-15 18:14:33 | 显示全部楼层 来自: 中国浙江宁波
我们经常使用的方法是2楼和3楼的方法,一般是使用查表来确定的
发表于 2008-7-15 19:36:51 | 显示全部楼层 来自: 中国福建泉州
1.公制螺纹与英制螺纹的大径、中径、小径的计算方法不同;) j) c+ b; j1 ]5 Z6 x# I
2.螺纹的牙形不同,计算方法也不同;如公制梯形和英制梯形螺纹。等等----
 楼主| 发表于 2008-7-18 07:21:57 | 显示全部楼层 来自: 中国上海
我要的是米制的大径公式,而不是中径及小径。
发表于 2008-7-18 07:41:44 | 显示全部楼层 来自: 中国浙江宁波
已有很多朋友都说过,内螺纹大径最小尺寸为公称尺寸,最大尺寸没有规定,依刃具牙顶的削平高度而定!!!
 楼主| 发表于 2008-7-19 10:30:52 | 显示全部楼层 来自: 中国上海
怎么可能没有一个封顶呢?还螺纹塞规的通端大径最小尺寸也要大于螺纹规格的。
发表于 2008-7-20 17:24:15 | 显示全部楼层 来自: 中国江苏南通
查表    :lol:
发表于 2008-7-21 12:50:56 | 显示全部楼层 来自: 中国江苏南京
一般情况下,是大径减去一个螺距,但是有时也根据材料有一点区别。
发表回复
您需要登录后才可以回帖 登录 | 注册

本版积分规则


Licensed Copyright © 2016-2020 http://www.3dportal.cn/ All Rights Reserved 京 ICP备13008828号

小黑屋|手机版|Archiver|三维网 ( 京ICP备2023026364号-1 )

快速回复 返回顶部 返回列表