QQ登录

只需一步,快速开始

登录 | 注册 | 找回密码

三维网

 找回密码
 注册

QQ登录

只需一步,快速开始

展开

通知     

查看: 2453|回复: 8
收起左侧

[讨论] 请问大侠ug可以按照公式画曲面么?

[复制链接]
发表于 2008-6-27 09:32:52 | 显示全部楼层 |阅读模式 来自: 中国浙江杭州

马上注册,结识高手,享用更多资源,轻松玩转三维网社区。

您需要 登录 才可以下载或查看,没有帐号?注册

x
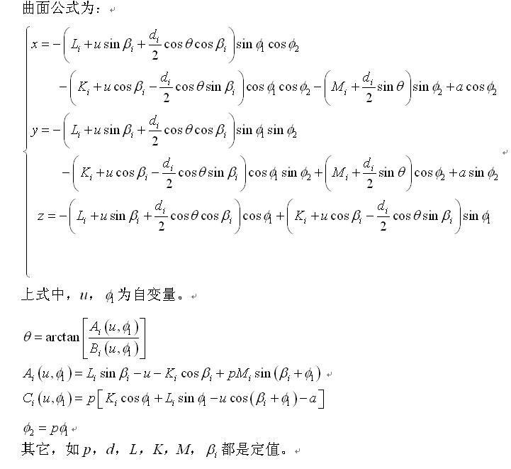
比如我有一个曲面公式,可以按照这个曲面公式绘制曲面么?
发表于 2008-6-27 15:18:41 | 显示全部楼层 来自: 中国浙江杭州
太有难度了。可不可以把公式分享一下。
发表于 2008-6-27 21:19:23 | 显示全部楼层 来自: 中国河北沧州
曲面工式什么样呀,我还没见过呢,给大家分享一下吧!!
发表于 2008-6-28 17:15:13 | 显示全部楼层 来自: 中国上海
开发一个小程序就可以了: F# H( f* {, A% l' L) u  ]

1 L' K: [6 V. V) i你把你的曲面公式 贴来看看
 楼主| 发表于 2008-7-19 10:34:49 | 显示全部楼层 来自: 中国陕西西安
不好意思,太忙,最近没上。看到大侠们给我回复还很有兴趣,我真感动啊!
2.JPG
 楼主| 发表于 2008-7-19 10:42:35 | 显示全部楼层 来自: 中国陕西西安
上面这个曲面公式所表示的曲面实际上是这样一个曲面:在涡轮齿上沿半径方向固定一个圆柱,然后涡轮蜗杆按照其速度比运动,这个圆柱就能在蜗杆上留下一个包络面,公式所表示的就是这个包络面。, N$ X' V- c4 `$ F1 B! C: K
附上一张这种包络的示意图。
第一点.JPG
发表于 2008-7-19 21:57:11 | 显示全部楼层 来自: 中国上海
对我来说,也太抽象了吧~~
发表于 2008-7-20 13:31:02 | 显示全部楼层 来自: 中国湖北黄冈
好专业啊.                             简直在看天书
发表于 2008-7-20 13:48:21 | 显示全部楼层 来自: 中国浙江宁波
看不懂呀,请高手出来 指点下制作过程
发表回复
您需要登录后才可以回帖 登录 | 注册

本版积分规则


Licensed Copyright © 2016-2020 http://www.3dportal.cn/ All Rights Reserved 京 ICP备13008828号

小黑屋|手机版|Archiver|三维网 ( 京ICP备2023026364号-1 )

快速回复 返回顶部 返回列表