QQ登录

只需一步,快速开始

登录 | 注册 | 找回密码

三维网

 找回密码
 注册

QQ登录

只需一步,快速开始

展开

通知     

查看: 2424|回复: 5
收起左侧

[已答复] V带有效长度

[复制链接]
发表于 2008-6-14 08:33:32 | 显示全部楼层 |阅读模式 来自: 中国河南信阳

马上注册,结识高手,享用更多资源,轻松玩转三维网社区。

您需要 登录 才可以下载或查看,没有帐号?注册

x
V带有效长度是怎样定义的,我们该如何测量V带的有效长度呢?
发表于 2008-6-14 08:39:49 | 显示全部楼层 来自: 中国四川德阳
V型带有效长度是在规定的张紧力下,测量V型带的外周长。

评分

参与人数 1三维币 +5 收起 理由
userkypdy + 5 应助

查看全部评分

发表于 2008-6-14 09:05:25 | 显示全部楼层 来自: 中国辽宁沈阳
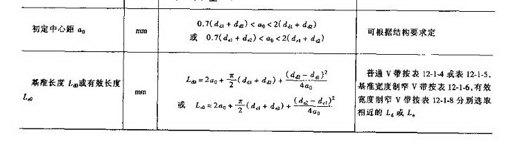
V带的有效长度定义见GB/T11544-1997表中规定。测量参见计算公式,按大小带轮直径及中心距测量后计算长度并且选取靠近GB/T11544-1997规定的长度。
% a2 z( D* z# {; O注意:你应该首先测量带轮槽尺寸,确定是什么型号V带,再按我附件(手册)查找合适的型号及长度。  X! M( Q- b3 Q8 X
6 F8 _  _  V3 b7 y( w% O* Y
[ 本帖最后由 shifeng18 于 2008-6-14 09:15 编辑 ]
2.jpg
1.jpg

V带传动.rar

716.53 KB, 下载次数: 12

评分

参与人数 1三维币 +8 收起 理由
userkypdy + 8 应助

查看全部评分

发表于 2008-6-14 09:22:53 | 显示全部楼层 来自: 中国江西宜春
好象是高中的物理知识吧?
发表于 2008-7-29 08:42:26 | 显示全部楼层 来自: 中国山东枣庄
楼主辛苦了,正需要,下来学习学习
发表于 2008-9-4 22:44:11 | 显示全部楼层 来自: 中国福建泉州
皮带长度的大致算法如下:6 N9 t0 |" _0 R3 |* I
皮带的长度=两个皮带轮的中心距*2+3.14*(R1+R2)

评分

参与人数 1三维币 +5 收起 理由
userkypdy + 5 技术讨论

查看全部评分

发表回复
您需要登录后才可以回帖 登录 | 注册

本版积分规则


Licensed Copyright © 2016-2020 http://www.3dportal.cn/ All Rights Reserved 京 ICP备13008828号

小黑屋|手机版|Archiver|三维网 ( 京ICP备2023026364号-1 )

快速回复 返回顶部 返回列表