QQ登录

只需一步,快速开始

登录 | 注册 | 找回密码

三维网

 找回密码
 注册

QQ登录

只需一步,快速开始

展开

通知     

查看: 3513|回复: 13
收起左侧

[已解决] 蝶形弹簧的计算

[复制链接]
头像被屏蔽
发表于 2008-5-9 13:11:48 | 显示全部楼层 |阅读模式 来自: 中国上海
提示: 作者被禁止或删除 内容自动屏蔽
发表于 2008-5-9 14:42:39 | 显示全部楼层 来自: 中国山西太原
设蝶形弹簧外半径为R,内半径为 r,板厚为 t ,自由高度为H,村料的弹性模量为E,则变形量为 e 时的圆周载荷F为:
6 v5 E7 l: `( C# K; ~# u        F=CC1E t ^4 / R^2- L! y# W0 E4 w8 l* j& c
式中:C是依内外径之比 a = r / R而定的系数。C=π [ (a+1) / ( a-1) - a / lna ) [ a / (a-1)] ^25 e  z% D- `$ Z2 Z9 {6 N
          C1 是e / t,H/ t 的函数,C1=  e / ( t -t v ^2) [ ( H/ t - e/ t ) ( H/ t -0.5e / t ) +1 ]       0 T7 H1 \" G( N( E, V
          其中:v--材料泊松比." u1 a. [! ?% m6 B8 C0 w" ?, ~
: T- `( i0 ?5 y0 ]
[ 本帖最后由 gaoyns 于 2008-5-9 14:44 编辑 ]

评分

参与人数 1三维币 +5 收起 理由
userkypdy + 5 谢谢

查看全部评分

发表于 2008-5-9 14:51:20 | 显示全部楼层 来自: 中国黑龙江佳木斯
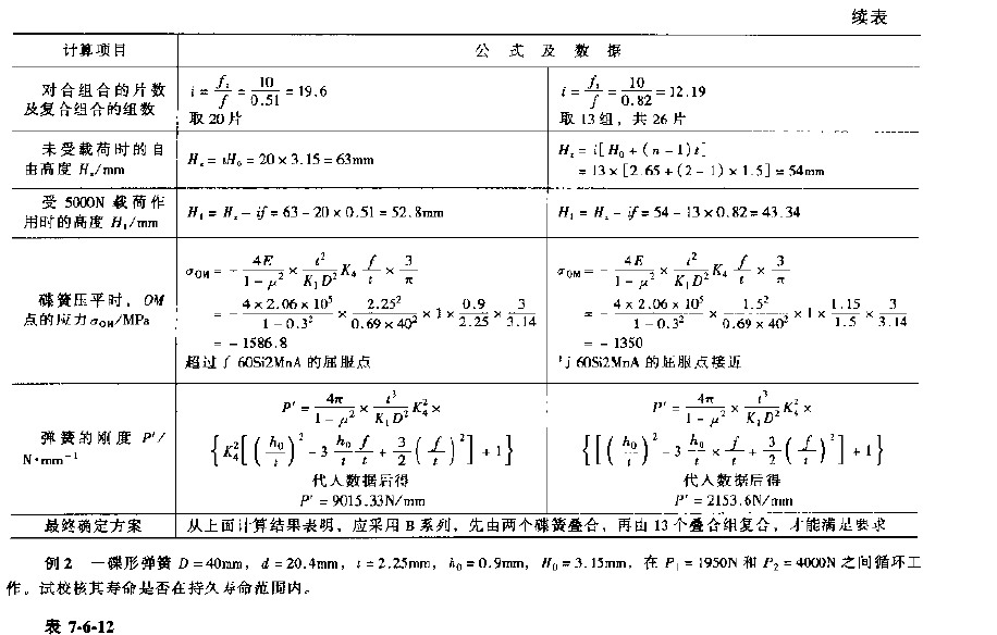
参考下面计算:
1.jpg
2.jpg
3.jpg
4.jpg
5.jpg
6.jpg

评分

参与人数 1三维币 +5 收起 理由
userkypdy + 5 谢谢

查看全部评分

发表于 2008-5-9 14:51:53 | 显示全部楼层 来自: 中国河北唐山
看了2楼的发言,我要试一下
发表于 2008-5-9 15:03:27 | 显示全部楼层 来自: 中国上海
GB/T1972-2005《碟形弹簧》有详细的计算公式,不妨参考一下。

评分

参与人数 1三维币 +3 收起 理由
userkypdy + 3 谢谢

查看全部评分

头像被屏蔽
 楼主| 发表于 2008-5-12 07:54:39 | 显示全部楼层 来自: 中国上海
提示: 作者被禁止或删除 内容自动屏蔽
头像被屏蔽
 楼主| 发表于 2008-5-12 11:45:05 | 显示全部楼层 来自: 中国上海
提示: 作者被禁止或删除 内容自动屏蔽
发表于 2008-6-6 12:31:57 | 显示全部楼层 来自: 中国湖南株洲
代表“次方”' {* |/ D( k. k" {4 a
, H- R& {6 b' M1 _+ ]2 G
[ 本帖最后由 华氏911 于 2008-6-6 18:33 编辑 ]

评分

参与人数 1三维币 +3 收起 理由
华氏911 + 3 积极参与

查看全部评分

发表于 2008-6-6 16:56:13 | 显示全部楼层 来自: 中国山西太原

回复 7# 的帖子

t ^4 / R^2
# |8 ]  J0 c- w0 ?: H  F中的“ ^ ”是乘方,t^4 就是 t 的4次方,R^2就是R的平方。
发表于 2008-6-7 16:19:38 | 显示全部楼层 来自: 中国山西吕梁
确实很有用的啊,一定要好好学习的啊
发表于 2008-6-7 21:26:45 | 显示全部楼层 来自: 中国湖北武汉
确实可以从手册中查得,非常感谢
发表于 2009-6-21 23:15:36 | 显示全部楼层 来自: 中国江苏苏州
请问如何用AutoCAD画出蝶形弹簧?
发表于 2009-6-22 16:37:11 | 显示全部楼层 来自: 中国北京
在汽车设计手册中,有详细的计算方法
发表于 2009-6-23 22:20:17 | 显示全部楼层 来自: 中国山东青岛

回复 1# yanchao84 的帖子

蝶形瘫痪最突出的优点是什么啊?
发表回复
您需要登录后才可以回帖 登录 | 注册

本版积分规则


Licensed Copyright © 2016-2020 http://www.3dportal.cn/ All Rights Reserved 京 ICP备13008828号

小黑屋|手机版|Archiver|三维网 ( 京ICP备2023026364号-1 )

快速回复 返回顶部 返回列表