QQ登录

只需一步,快速开始

登录 | 注册 | 找回密码

三维网

 找回密码
 注册

QQ登录

只需一步,快速开始

展开

通知     

全站
9天前
查看: 1559|回复: 1
收起左侧

[求助] 高压下气体在管道内的流量怎么计算?

[复制链接]
发表于 2008-1-13 14:43:01 | 显示全部楼层 |阅读模式 来自: 中国浙江杭州

马上注册,结识高手,享用更多资源,轻松玩转三维网社区。

您需要 登录 才可以下载或查看,没有帐号?注册

x
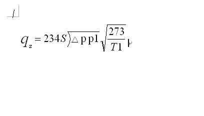
比如一个阀口,入口压力24MPa,出口压力23MPa。介质是气体,阀口通径为8,请问通过的气体流量怎么计算,是多少?
发表于 2008-1-14 15:28:59 | 显示全部楼层 来自: 中国江苏无锡
未命名.JPG
发表回复
您需要登录后才可以回帖 登录 | 注册

本版积分规则


Licensed Copyright © 2016-2020 http://www.3dportal.cn/ All Rights Reserved 京 ICP备13008828号

小黑屋|手机版|Archiver|三维网 ( 京ICP备2023026364号-1 )

快速回复 返回顶部 返回列表