QQ登录

只需一步,快速开始

登录 | 注册 | 找回密码

三维网

 找回密码
 注册

QQ登录

只需一步,快速开始

展开

通知     

全站
9天前
查看: 2287|回复: 9
收起左侧

[已解决] 如何校核此杆的强度?

[复制链接]
发表于 2007-10-15 13:10:59 | 显示全部楼层 |阅读模式 来自: 中国广东江门

马上注册,结识高手,享用更多资源,轻松玩转三维网社区。

您需要 登录 才可以下载或查看,没有帐号?注册

x
见下图,怎样校核此杆的直径是否满足要求?请高手指点一下.多谢!
Image00000.jpg
发表于 2007-10-17 11:56:42 | 显示全部楼层 来自: 中国福建泉州
楼主需要校核那种强度。不同强度的计算方法是不一样的。如抗拉强度、抗弯强度,其材料不同,系数则不相同,计算方法也不同。
发表于 2007-10-17 12:11:53 | 显示全部楼层 来自: 中国北京
冲击载荷两倍计算,等效后相加安静力计算
 楼主| 发表于 2007-10-18 12:54:41 | 显示全部楼层 来自: 中国广东江门
请问楼上的朋友,如何计算冲击载荷?
发表于 2007-10-19 19:30:47 | 显示全部楼层 来自: 中国北京
1 幻灯片9.GIF 幻灯片10.GIF . K9 j' K7 r4 N+ O% w9 R8 X2 b

$ Q2 C3 s) f0 @" _: `2, A  M! R. F1 S% l( @4 y' I+ m

8 y" d3 F( ], k" p3 幻灯片11.GIF
1 V' m3 D$ n9 r- [0 X2 a, H4 幻灯片12.GIF
发表于 2007-10-19 19:32:44 | 显示全部楼层 来自: 中国北京
5 幻灯片13.GIF
4 s  _" l4 `% S( F6 幻灯片14.GIF ) j  X7 J. R- y/ g& I' G
7 幻灯片15.GIF
: K' D  q5 S. A& D0 F4 u8
幻灯片16.GIF
发表于 2007-10-19 19:36:47 | 显示全部楼层 来自: 中国北京
幻灯片17.GIF 9. H" D$ F4 U# }6 Z
10 幻灯片18.GIF
; |, c! j$ R# ^- G9 r11 幻灯片19.GIF
' b: \1 j8 }- b& A12
幻灯片20.GIF
发表于 2007-10-19 19:39:09 | 显示全部楼层 来自: 中国北京
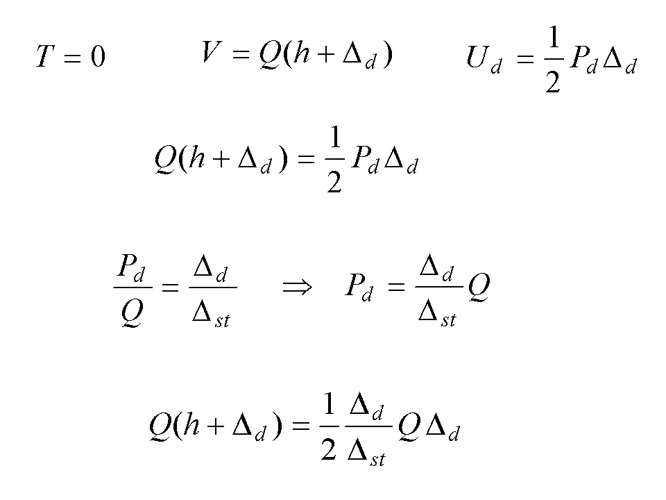
例子:希望能帮到你;
4 Y2 Y0 ?% c: v# P9 \ 1.gif
( C- D* L' P; L' z5 U2 }0 O2 2.gif
, l6 l, |, I, e: P6 q
5 B9 g0 h% U1 W. W5 v5 t6 R[ 本帖最后由 xinoujixie 于 2007-10-19 20:16 编辑 ]

评分

参与人数 1三维币 +8 收起 理由
zyxwq + 8 应助

查看全部评分

发表于 2007-10-19 19:43:29 | 显示全部楼层 来自: 中国安徽铜陵
很详细的推导,好!
 楼主| 发表于 2007-10-20 09:00:09 | 显示全部楼层 来自: 中国广东江门
多谢大家了,其实我这个是一个水平冲击问题,我在机械设计手册上刚刚找到其计算方法.多谢xinoujixie帮我找资料.
发表回复
您需要登录后才可以回帖 登录 | 注册

本版积分规则


Licensed Copyright © 2016-2020 http://www.3dportal.cn/ All Rights Reserved 京 ICP备13008828号

小黑屋|手机版|Archiver|三维网 ( 京ICP备2023026364号-1 )

快速回复 返回顶部 返回列表