QQ登录

只需一步,快速开始

登录 | 注册 | 找回密码

三维网

 找回密码
 注册

QQ登录

只需一步,快速开始

展开

通知     

查看: 1289|回复: 3
收起左侧

[已解决] 帮帮忙

 关闭 [复制链接]
发表于 2007-4-29 20:26:29 | 显示全部楼层 |阅读模式 来自: 中国陕西汉中

马上注册,结识高手,享用更多资源,轻松玩转三维网社区。

您需要 登录 才可以下载或查看,没有帐号?注册

x
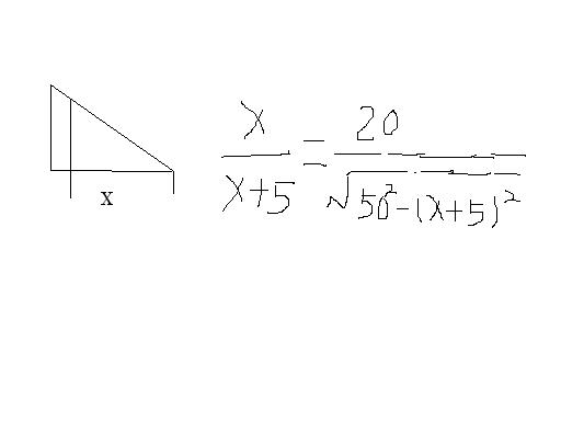
有那位会做这个图呀,能不能告诉我,谢谢
3.JPG
发表于 2007-4-29 20:38:02 | 显示全部楼层 来自: 中国上海
这个图有什么困难吗?
$ |4 ?/ b! _3 V# a9 \: M不解。
发表于 2007-4-29 20:53:03 | 显示全部楼层 来自: 中国浙江杭州
就是解方程呀,根据相似三角形
1.JPG
发表于 2007-4-29 20:56:45 | 显示全部楼层 来自: 中国浙江台州

这个早就有贴子了你怎么还发啊,你仔细找找就有答案了,真晕!!!!

这个早就有贴子了你怎么还发啊,你仔细找找就有答案了,真晕!!!!
发表回复
您需要登录后才可以回帖 登录 | 注册

本版积分规则


Licensed Copyright © 2016-2020 http://www.3dportal.cn/ All Rights Reserved 京 ICP备13008828号

小黑屋|手机版|Archiver|三维网 ( 京ICP备2023026364号-1 )

快速回复 返回顶部 返回列表