QQ登录

只需一步,快速开始

登录 | 注册 | 找回密码

三维网

 找回密码
 注册

QQ登录

只需一步,快速开始

展开

通知     

查看: 2202|回复: 8
收起左侧

[求助] 卡门曲线如何绘制?

[复制链接]
发表于 2014-7-16 11:25:34 | 显示全部楼层 |阅读模式 来自: 中国北京

马上注册,结识高手,享用更多资源,轻松玩转三维网社区。

您需要 登录 才可以下载或查看,没有帐号?注册

x
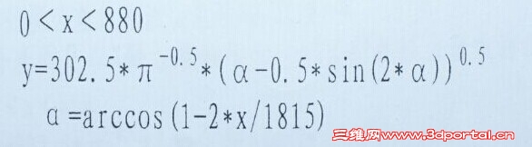
卡门方程9 j3 D+ {" g& v+ F
QQ图片20140716112446.jpg
+ K6 }* W, |9 c4 A* K3 K  @7 C7 w5 e/ |& ]" Y# `, o
请教用solidworks或者cad
/ E& C/ b3 n) c6 x9 j如何绘制
; p' j( [# e' g& l
/ _0 L9 C0 L; u3 @* z) s谢谢。
发表于 2014-7-16 14:22:55 | 显示全部楼层 来自: 中国广东佛山
坐等高手吧  这方程式我看的都头大
发表于 2014-7-16 14:32:43 | 显示全部楼层 来自: 中国浙江嘉兴
本帖最后由 ryouss 于 2014-7-16 14:34 编辑
$ J" p% Y% h" T- T5 B2 @9 Q1 [1 H& L, }) k% t$ k
導入Excel 解
: M. h' y4 G- M; z! }6 wx= 1~876 隔5計算
% X  ?6 b% A, [- x) W# q% Q. v
capture_07162014_143018.png
发表于 2014-7-16 19:35:51 | 显示全部楼层 来自: 中国浙江嘉兴
另直接轉sw的方程式  e! X" Q' N# ^3 _# ?2 V: A
因X =0,X=880 可計算就不處理了' E! i9 @$ u& Y6 J# I

/ y" w; c% L. z! A c-1.jpg
" I! o: d! k+ D/ o
发表于 2014-7-17 09:36:27 | 显示全部楼层 来自: 中国北京
ryouss 发表于 2014-7-16 19:35 static/image/common/back.gif
0 W' \# u- o& H) n+ r& T# _7 d另直接轉sw的方程式
3 M2 |: A& m4 Q) k6 {+ x7 o0 ], z因X =0,X=880 可計算就不處理了

: H' d' N" \4 a看着看着就哭了,我用SW这么多年,连这个画曲线的方法都不会
 楼主| 发表于 2014-7-17 16:19:29 | 显示全部楼层 来自: 中国北京
谢谢,非常感谢,藏龙卧虎之地
发表于 2014-8-9 14:19:05 | 显示全部楼层 来自: 中国浙江温州
我的脑袋被门夹了,变曲线了
发表于 2014-8-9 18:36:22 | 显示全部楼层 来自: 中国四川绵阳
请教3D曲线,那个方程式输入,在哪儿点开?
发表于 2014-8-9 19:16:31 | 显示全部楼层 来自: 中国浙江嘉兴
eastking1111 发表于 2014-8-9 18:36 static/image/common/back.gif
, a- y6 U$ h+ N请教3D曲线,那个方程式输入,在哪儿点开?

7 F0 r2 P. W. Khttp://www.3dportal.cn/discuz/fo ... ead&tid=11897287 b9 J" X  m6 ]; r* e9 {3 a7 Z+ v
如上參看7#4 A: o0 Y* r7 Q5 n
发表回复
您需要登录后才可以回帖 登录 | 注册

本版积分规则


Licensed Copyright © 2016-2020 http://www.3dportal.cn/ All Rights Reserved 京 ICP备13008828号

小黑屋|手机版|Archiver|三维网 ( 京ICP备2023026364号-1 )

快速回复 返回顶部 返回列表