QQ登录

只需一步,快速开始

登录 | 注册 | 找回密码

三维网

 找回密码
 注册

QQ登录

只需一步,快速开始

展开

通知     

全站
9天前
查看: 5872|回复: 2
收起左侧

[分享] 螺纹扭矩标准

 关闭 [复制链接]
发表于 2006-7-11 12:08:35 | 显示全部楼层 |阅读模式 来自: 中国浙江宁波

马上注册,结识高手,享用更多资源,轻松玩转三维网社区。

您需要 登录 才可以下载或查看,没有帐号?注册

x
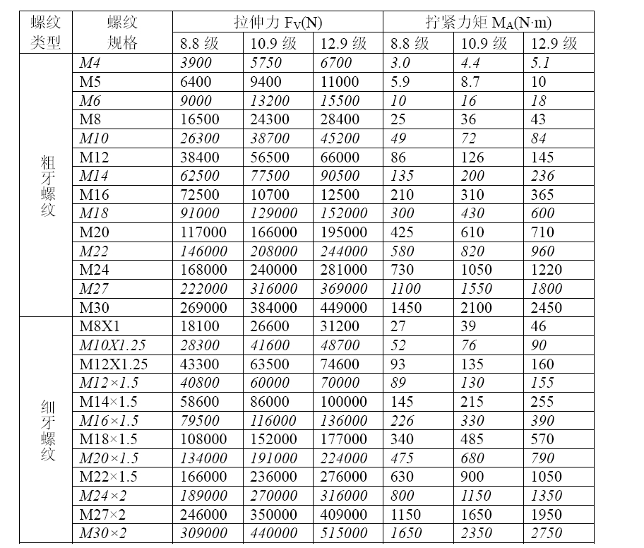
很齐全的小资料。拿出来分享一下。搜索过了,没有相同的。
: T7 M- b: r- V0 T/ z6 R$ U* I; c8 O 11.JPG
0 n- S4 @4 {  n" s( `0 @ 12.JPG / U3 r6 y# Q* i
螺栓紧固资料.rar (28.33 KB, 下载次数: 334)
发表于 2007-7-2 11:34:06 | 显示全部楼层 来自: 中国浙江舟山
各位可以参考一下SAE J 1701M(1996)米制紧固件拧紧力矩+ R' _7 W2 o+ p5 z
http://www.3dportal.cn/discuz/se ... mp;searchsubmit=yes

评分

参与人数 1三维币 +5 收起 理由
userkypdy + 5 谢谢给出提示

查看全部评分

发表于 2007-9-5 16:39:49 | 显示全部楼层 来自: 中国江苏无锡
其实螺纹扭矩的大小随被紧固的材料、螺纹的润滑方式等变化而变化。附个日本的资料贴图
- T8 n( g- Q% R& Z. |
2 `  r1 m( f3 Z1 G: X% s3 L1 ~[ 本帖最后由 renyueming2001 于 2007-9-5 16:43 编辑 ]
螺纹扭矩--(日本).jpg

评分

参与人数 1三维币 +3 收起 理由
userkypdy + 3 补充!

查看全部评分

发表回复
您需要登录后才可以回帖 登录 | 注册

本版积分规则


Licensed Copyright © 2016-2020 http://www.3dportal.cn/ All Rights Reserved 京 ICP备13008828号

小黑屋|手机版|Archiver|三维网 ( 京ICP备2023026364号-1 )

快速回复 返回顶部 返回列表