QQ登录

只需一步,快速开始

登录 | 注册 | 找回密码

三维网

 找回密码
 注册

QQ登录

只需一步,快速开始

展开

通知     

全站
6天前
查看: 3526|回复: 18
收起左侧

[已解决] 水压试验时压力自己会上升吗?

[复制链接]
发表于 2011-7-17 15:55:27 | 显示全部楼层 |阅读模式 来自: 中国北京

马上注册,结识高手,享用更多资源,轻松玩转三维网社区。

您需要 登录 才可以下载或查看,没有帐号?注册

x
本帖最后由 niao_csu 于 2011-12-1 10:44 编辑 % q+ |* a0 I" R/ M* v6 K3 X  p
& l; c6 ~) J: Z/ @
水压试验时压力自己会上升吗?# j; R: F0 q( f: d
设备水压试验时,昨晚放满水早上加压到试验压力0.3MPa,停止加压,检查容器密封面等,到中午12点,发现压力表显示0.35MPa 了,升了0.05MPa,这是怎么回事?" l$ r/ ~7 i' E2 t( E' q
现场发现设备表面确实好多水珠,类似冷凝的水珠,但不滴水。制造厂说是热胀冷缩,从自来水管里出来的水,温度较低,到中午时水温度升高了,压力变大了,这可能吗?设备容积31立方米,存在这种可能性吗?
发表于 2011-7-18 16:32:45 | 显示全部楼层 来自: 中国广东深圳
水压试验时,应该在设备表面设置温度计,测量设备表面温度的。
5 [  w7 W5 E4 S! f/ M检查表面前,应用压缩空气将表面残留的水吹干,再检查。
) O4 K9 ?1 @7 ~; p# t
' k7 o2 ?. s9 M' i3 l水在4℃时密度最大,是由于水分子间有氢键缔合这样的特殊结构所决定的。根据近代X射线的研究,证明了冰具有四面体的晶体结构。这个四面体是通过氢键形成的,是一个敞开式的松弛结构,因为五个水分子不能把全部四面体的体积占完,在冰中氢键把这些四面体联系起来,成为一个整体。这种通过氢键形成的定向有序排列,空间利用率较小,约占34%、因此冰的密度较小。 , \8 p3 l7 e* g9 E6 J

# `% x, H9 i0 H  A: r水溶解时拆散了大量的氢键,使整体化为四面体集团和零星的较小的“水分子集团”(即由氢键缔合形成的一些缔合分子),故液态水已经不象冰那样完全是有序排列了,而是有一定程度的无序排列,即水分子间的距离不象冰中那样固定,H2O分子可以由一个四面体的微晶进入另一微晶中去。这样分子间的空隙减少,密度就增大了。 : P3 @+ |2 S' v6 b

: z7 ~" @3 \# A4 O% l0 ~; c温度升高时,水分子的四面体集团不断被破坏,分子无序排列增多,使密度增大。但同时,分子间的热运动也增加了分子间的距离,使密度又减小。这两个矛盾的因素在4℃时达到平衡,因此,在4℃时水的密度最大。过了4℃后,分子的热运动使分子间的距离增大的因素,就占优势了,水的密度又开始减小。

评分

参与人数 1三维币 +3 收起 理由
lauhob + 3 技术讨论

查看全部评分

发表于 2011-9-2 14:44:13 | 显示全部楼层 来自: 中国广东佛山
温度变化压力也会变化,容积越大越明显。
发表于 2011-9-3 10:59:53 | 显示全部楼层 来自: 中国北京
这是可能,在密闭的容器内,除试压的水外,还有气相存在,在外界温度升高时,容器压力也随着升高,至于压力升高多少,要看温度的变化有多大。

评分

参与人数 1三维币 +2 收起 理由
lauhob + 2 技术讨论

查看全部评分

发表于 2011-9-3 17:29:17 | 显示全部楼层 来自: 中国辽宁鞍山
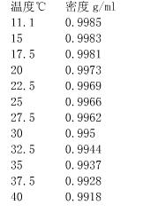
如果夜里温度是16℃,中午温度是25℃,0.3MPa(表)下,密度分别为999kg/m3,997kg/m3,密度降低体积增加,容器体积不变的话,压强应该增加。
- C" E+ ?$ e, ~, p个人观点,仅供参考。
发表于 2011-9-9 08:30:42 | 显示全部楼层 来自: 中国四川成都
温度变化对压力的影响很大;" x, g' G- P2 u: W
俺们有一套小装置,强度试验10MPa,设备注水总量916.4升;保压4小时,早上设备温度22℃,到中午被太阳晒到44摄氏度,压力猛增到14.6MPa;到晚上10点设备温度降到21℃,压力降到10.8mpa;- f$ ~# k! J" @8 B( {8 S
还有一节管道,注水19.4升,气密性试验10MPa,温度从22℃升高到44℃,压力升高到14.1MPa;
- p' _# B7 N' |* x2 |/ C+ n
: ]7 A' k; C0 ~2 e; H' L1 g" r这种现象在施工现场进行4小时强度试验和24小时气密性试验非常明显;

评分

参与人数 1三维币 +2 收起 理由
lauhob + 2 技术讨论

查看全部评分

发表于 2011-9-9 09:08:41 | 显示全部楼层 来自: 中国辽宁鞍山
6楼说了现象,但是有没有理论可以解释
发表于 2011-9-10 09:13:14 | 显示全部楼层 来自: 中国北京
有可能,因为水的密度通常不会应为温度升高而下降,那么体积就会增大,压力增高。
1.JPG

评分

参与人数 1三维币 +2 收起 理由
lauhob + 2 技术讨论

查看全部评分

发表于 2011-11-10 10:35:11 | 显示全部楼层 来自: 韩国
容器表面有很多水珠,说明试压用水温度相对环境温度低很多。在这种情况下相当于利用天气对容器内的试压水加热,压力当然会上升。另外试压时一般会有少量空气不能完全排尽,水在温差不是很大的情况下体积变化到不是很明显,可是气体就不一样了,气体随温度的升高体积增大非常明显。
发表于 2011-11-10 10:45:27 | 显示全部楼层 来自: 中国广东广州
主要是受温度影响。气温上升,密闭容器中的试验压力会向上变化的。
发表于 2011-11-10 12:06:01 | 显示全部楼层 来自: 中国四川成都
在固定空间中气体受热膨胀后产生的压力上升值远小于同体积水的,主要是气体是可压缩的,而水是很难压缩的。
发表于 2011-11-15 09:41:22 | 显示全部楼层 来自: 中国江苏苏州
热胀冷缩么,估计里面的空气没有全部放尽
发表于 2011-11-17 09:00:19 | 显示全部楼层 来自: 中国北京
完全有可能,温度主要控制
发表于 2011-11-17 19:31:39 | 显示全部楼层 来自: 中国河北沧州
能人不少啊 啊。。。你要是给水加热涨的压力还大。
发表于 2011-12-26 21:13:09 | 显示全部楼层 来自: 中国山西太原
热胀冷缩,还有可能空气的存在
发表于 2011-12-26 21:13:48 | 显示全部楼层 来自: 中国山西太原
大家分析的真好,学习了,这个问题可以定量的去分析的
发表于 2011-12-27 11:21:43 | 显示全部楼层 来自: 中国辽宁鞍山
气体的体积膨胀造成的压力升高应该没有多少道理,毕竟温升很小,主要是水的温升体积增加造成的压力上升。0.3MPa升到0.35MPa应该有度数误差的原因在里面,不过压力升高还是可能的
发表于 2012-1-4 18:08:22 | 显示全部楼层 来自: 中国四川成都
如果内部余气已经完全排放、全是水,压力上升更为明显!2 `" n$ u5 t0 T8 n% U5 T( J
以前在船所干时曾见到过1.6MPa 20升容器作温升爆破试验(20℃加热到120℃,导热油),直接将罐子打爆,余气完全排净了;
发表于 2012-1-6 08:49:13 | 显示全部楼层 来自: 中国四川达州
没见过此现象
发表回复
您需要登录后才可以回帖 登录 | 注册

本版积分规则


Licensed Copyright © 2016-2020 http://www.3dportal.cn/ All Rights Reserved 京 ICP备13008828号

小黑屋|手机版|Archiver|三维网 ( 京ICP备2023026364号-1 )

快速回复 返回顶部 返回列表